Home Suroviny, polotovary Textil, látky, vlna

Skladové zásoby

Jihočeský kraj
21. 10. 2025 - 12:26
Nejvyšší nabídka

Popis

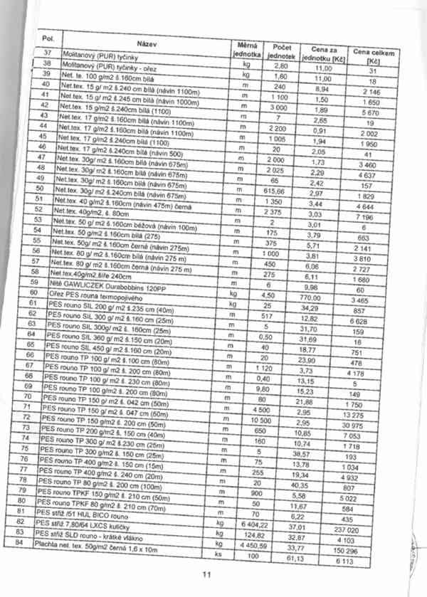
Insolvenční správkyně dlužníka PRO GYM Profesional s.r.o., se sídlem Chýnovská 378, 391 11 Planá nad Lužnicí, IČ: 031 37 911 nabízí k přímému prodeji movitý majetek, a to skladové zásoby dlužníka, které sloužily k jeho textilní výrobě, kdy tyto jsou specifikovaný blíže v příloze č. 1 této inzerce. Skladové zásoby jsou sepsány v soupisu majetkové podstaty dlužníka ze dne 13.10.2025 pod položkou II. poř. č. 58. Jedná se zejména o rouno, výplně, látky, proševy, polyester rouno a další textilní výrobky.
Nabídky mohou být činěny jak na soubor majetku, tak na jednotlivý movitý majetek, přičemž nejprve budou hodnoceny nabídky na koupi celého souboru majetku jedinou smlouvou.
Případné nabídky, nechť jsou činěny písemně a doručeny do datové schránky insolvenční správkyně či emailem na emailovou adresu progym@hepperova.cz, a to nejpozději do 27.11.2025.
Každá nabídka musí obsahovat:
- uvedení subjektu, který nabídku činí, a to označením obchodní firmy, sídla, IČ, či jména a příjmení, bydliště a data narození a emailového a telefonického kontaktu
- výši nabízené kupní ceny – zájemce uvede, zda nabízená kupní cena je za celý soubor majetku, či jednotlivý majetek. Bude-li nabídka činěna na jednotlivý majetek, musí zájemce uvést označení majetku, na který je nabídka směřována, a to označením majetku jeho číslem uvedeným v soupisu majetkové podstaty. Kupní cenu uvede zájemce ve výši včetně DPH.
Insolvenční správkyně je oprávněna odmítnout jakoukoliv nabídku, případně i všechny nabídky. Neúspěšní zájemci nebudou vyrozumíváni.

Ohledně dalších podrobností k výběrovému řízení insolvenční správkyně odkazuje na inzerci zde:
https://www.burzaspravcu.cz/inzerat/skladove-zasoby-8/?cred_referrer_form_id=129

Základní údaje

Oblast inzerce
Jihočeský kraj
Druh inzerátu
soukromá inzerce
Číslo inzerátu
75725723096882854763
Nejvyšší nabídka

Skladové zásoby

Zavřít Zavřít
Prodávající
Mgr. Ing. Eva Hepperová
Pošlete uživateli zprávu
0 / 1000

Nahlásit inzerát

Zavřít Zavřít
0 / 2000
Děkujeme za zpětnou vazbu! Inzerát byl nahlášen!